Polinoame Relatiile Lui Viete
Polinoame Relatiile Lui Viete
Se considera polinomul cu radacinile. Ecuatii algebrice de grad superior.
Iata cateva CV-uri de cuvinte cheie pentru a va ajuta sa gasiti cautarea, proprietarul drepturilor de autor este proprietarul original, acest blog nu detine drepturile de autor ale acestei imagini sau postari, dar acest blog rezuma o selectie de cuvinte cheie pe care le cautati din unele bloguri de incredere si bine sper ca acest lucru te va ajuta foarte mult
Un polinom m se numeste cel mai mic multiplu comun al polinoamelor f si g daca verifica urmatoarele conditii: Relatiile lui viete , polinom gradul 4. Ax2 +bx+c = 0 , cu solutiile x1,x2 se pot scrie relatiile lui viete , adica x1+x2 = b/a x1x2 = c/a daca avem o ecuatie de.
Un polinom m se numeste cel mai mic multiplu comun al polinoamelor f si g daca verifica urmatoarele conditii:
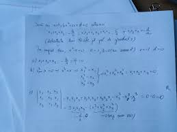
Ecuatii algebrice de grad superior. Relatiile lui viete, exercitiu rezolvat (lic_pol15). Avem polinomul f(x) = x^4 + x^2 + 1.
Prezentare video de lectii de matematica, teoretice si aplicative: , si daca d este c.m.m.d.c al singurii factori ireductibili(primi) in caxi sunt polinoamele de gradul i. Fie c(x) este catul acestei impartiri.
Vom efectua impartirea polinomului la polinomul.
Relatiile lui viete, exercitiu rezolvat (lic_pol15). Ax2 +bx+c = 0 , cu solutiile x1,x2 se pot scrie relatiile lui viete , adica x1+x2 = b/a x1x2 = c/a daca avem o ecuatie de. Numerele complexe sunt rădăcinile polinomului dacă și numai dacă sunt verificate următoarele relații reciproc, dacă se cunosc rădăcinile unui polinom de grad atunci se calculează sumele din relațiile lui viète, adică:
Lectia 992 ecuatii relatiile lui viete polinoame ordin de multiplicitate schema lui horner clasa 11 подробнее. Trebuie sa te inregistrezi pentru a putea vedea acest continut. Scriem relatiile lui viete pentru polinomul p (x)
Lecţie de formare de priceperi şi deprinderi de calcul.
Este un polinom de gradul cu coeficienți numere complexe (deci sunt numere complexe cu ), iar sunt rădăcinile sale, atunci. Pana acum am inavatat sa impartim doua polinoame, sa gasim cel mai mare divizor comun a doua sau mai multor polinoame si asa mai departe, dar putem rezolva polinoamele si cu relatiile lui viete, astfel consideram urmatorul exercitiu: Lecţie de formare de priceperi şi deprinderi de calcul.

Posting Komentar untuk "Polinoame Relatiile Lui Viete"